近日,中国科学院高能物理研究所理论物理室贾宇研究员与合作者在粒子物理领域取得重要研究进展,首次提出在正负电子对撞机上研究新型量子干涉效应。该成果于4月7日发表在《物理评论快报》(Phys. Rev. Lett. 134, 141901)。
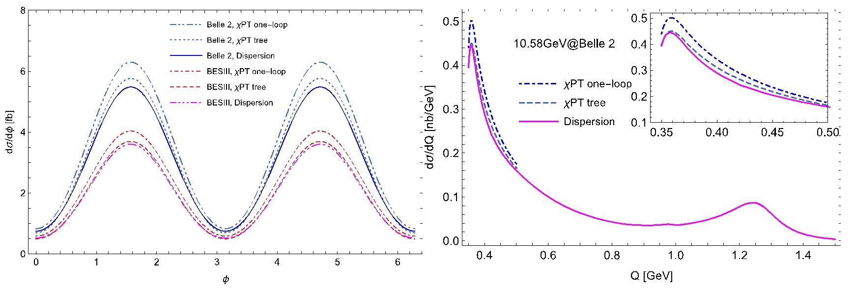
该研究聚焦于电子-正电子对撞机中双光子融合产生强子的过程,以双光子产生π介子对为基准过程,提出了一类全新的方位角相关观测量。研究发现,由于电子和正电子束流发射的准实光子具有强线性偏振特性,在横向动量依赖(TMD)因子化框架下,π介子对的产生会呈现显著的cos2φ方位角不对称性。采用色散关系中的分波振幅作为输入,预测在Belle 2和BESIII实验的典型运动学条件下,这种方位角调制效应可高达40%。这一发现不仅首次提供了直接测量光子不同螺旋度振幅的相对相位的方法(以往都是间接测量),还为强子光-光散射(Hlbl)贡献的精确计算提供了重要输入,有助于降低μ子反常磁矩理论预言的不确定性。
值得注意的是,这项工作是粒子物理多个分支方向(TMD物理、手征微扰论、色散关系)的交叉研究,为强相互作用动力学的研究开辟了新的思路。
论文还特别呼吁Belle 2和BESIII实验团队开展相关测量,以验证这一新型方位角不对称性,以推动国际高能物理实验的发展,并为探索C-偶共振结构和介子内部结构提供新工具。
该论文的作者是贾宇、山东大学前沿交叉科学青岛研究院粒子物理与粒子辐照教育部重点实验室的周剑教授和周雅瑾副教授。该工作受到国家自然科学基金委的杰出青年基金、面上基金与中国科学院高能所科技创新项目资助。
成果链接:https://doi.org/10.1103/PhysRevLett.134.141901

左图:Belle 2和BESIII 能区π介子对微分截面的方位角调制效应;右图:Belle 2 能区π介子对微分截面随不变质量的变化曲线。
附件下载:
            