English
联系我们
首页
实验概况
组织管理
科学背景
科学意义
合作交流
科学成果
科普宣传
传媒扫描
大事记
工程图册
首页
实验概况
组织管理
科学背景
科学意义
合作交流
科学成果
科普宣传
传媒扫描
大事记
工程图册
图片新闻
高海拔宇宙线观测站
>
图片新闻
观测站建设现场
2018-02-01
科普公开课丨曹臻:宇宙无限 信使有痕
2016-09-03
什么是广延大气簇射?
2013-11-21
世纪之谜——宇宙线起源
2013-11-18
宇宙线是什么?
2013-11-15
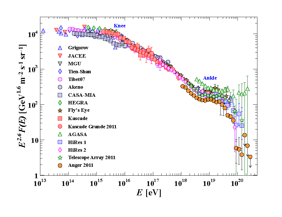
宇宙线的能谱
2013-11-18
共2页
首页
上一页
1
2
加载更多
回顶部
图片新闻