

约20亿年前,一颗比太阳重20多倍的“超级太阳”——大质量恒星燃烧完其核聚变燃料,瞬间坍缩引发巨大的爆炸火球,发出了一个持续几百秒的巨大“宇宙烟花”——伽马射线暴。火球与星际物质碰撞产生的大量万亿电子伏特高能伽马光子穿过茫茫宇宙,径直飞向地球,于2022年10月9日21时20分50秒抵达高海拔宇宙线观测站LHAASO(中文简称“拉索”)的视场范围,6万多个伽马光子被“拉索”收集到。经过几个月的分析,科学家们终于揭开了这场爆炸事件的面纱。
▲高海拔宇宙线观测站(LHAASO)
红星新闻记者从中国科学院高能物理研究所(下称中科院高能所)了解到,2023年6月9日,“拉索”对命名为GRB221009A的伽马射线暴(Gamma Ray Burst,GRB)的最新观测研究成果在线发表于《科学》(Science)杂志,题为《极亮伽马射线暴221009A窄喷流的万亿电子伏特余辉》(A tera-electronvolt afterglow from a narrow jet in an extremely bright gamma-ray burst 221009A)。该论文由LHAASO国际合作组完成。
“拉索”是以宇宙线观测研究为核心的国家重大科技基础设施,位于四川省稻城县海子山,项目由中国科学院和四川省人民政府共建,由中国科学院成都分院与中国科学院高能物理研究所承建,设施于2021年7月建成并全部投入运行,于2023年5月10日通过国家验收。
“拉索”由三个阵列组成:5216个电磁粒子探测器与1188个缪子探测器联合构成的1平方公里的地面簇射粒子探测器阵列(KM2A)、3120个探测单元构成的78000平方米的水切伦科夫探测器阵列(WCDA)、18台望远镜构成的广角切伦科夫望远镜阵列(WFCTA),可以宽波段、多手段地测量来自高能天体的伽马射线和宇宙线,开展天体物理等方面的研究。本次观测成果主要由其中的水切伦科夫探测器阵列提供。

▲水切伦科夫探测器阵列示意图。装置由3个大型水池构成,水深4.5米。6240个光敏探头与周围的水体由黑色隔光帘分成3120个单元。
“拉索”首次精确测量高能光子爆发的完整过程
伽马射线暴(也简写为伽马暴)是宇宙大爆炸之后最剧烈的天体爆炸现象,是指来自天空中某一方向的伽马射线突然增强的闪烁现象。伽马暴短至千分之一秒,长则数小时。短时间的伽马暴是由两颗邻近的致密星体(黑洞或中子星)并合产生,而长时间的伽马暴是由巨大恒星(超级恒星)在燃料耗尽时塌缩爆炸产生。
经过半个世纪的研究,人们认识到伽马暴产生于特别极端的物理环境,比如极高的磁场、极强的引力、极快的速度等等,伽马暴由此成为天体物理甚至基础物理领域青睐的极端物理实验室。人们期望利用伽马暴研究宇宙的演化历史、重元素的起源以及相对论的正确性等重大问题,而在这之前必须对伽马暴自身的物理起源具备深刻的了解。
▲高海拔宇宙线观测站的构成与布局
2022年10月9日北京时间21时16分59.59秒,费米卫星(Fermi spacecraft)首先探测到一个异常明亮的伽马暴,根据国际惯例命名为GRB221009A,后续几十个空间和地面探测器都对此暴发进行了观测。
这个伽马暴为长暴,其亮度比以往最亮伽马暴还要高几十倍以上,过高的光子流量使得多个国际实验的探测器发生了饱和。我国高海拔宇宙线观测站(LHAASO)、高能爆发探索者(HEBS)卫星和慧眼(Insight-HXMT)卫星同时探测到了这个伽马暴,实现了跨越11个量级的宽能量范围天地协同观测。
迄今为止已有上万个伽马暴被人类捕获,而每一次对伽马暴认知的突破几乎都得益于一些特殊事例的观测。GRB221009A是有记录以来最亮的伽马暴,科学家推断如此亮的伽马暴扫过地球的概率是万年一次。而这一次人类是极其幸运的,因为GRB221009A恰好落在了“拉索”的最佳观测范围内。
“拉索”也不负众望。
▲“拉索”以超过250倍标准偏差的高显著水平观测到了伽马射线暴GRB221009A的爆发。
LHAASO项目首席科学家、LHAASO国际合作组发言人、中国科学院高能物理研究所研究员曹臻告诉记者,“拉索”收集到的信号细节表明,探测到的光子来源于主爆之后的后随爆炸。伽马射线暴事件的“主爆”,也称为瞬时辐射,是初始阶段的巨大的爆炸,表现为强烈的低能的伽马射线辐射。接近于光速的爆炸物与周围环境气体碰撞则产生“后随爆炸”,也称为余辉。
“‘拉索’首次精确地观测了‘后随爆炸’的完整过程,记录了万亿电子伏特伽马射线流量增强和衰减的整个阶段。”曹臻说,凭借对上万个伽马射线暴的观测,科学家们已经建立了似乎完美的理论模型,甚至于对它深信不疑。“拉索”实现了其它实验没有达到的高能量波段光变过程的教科书式的完整观测,对理论模型的精确检验提供了实验基础。
值得一提的是,鉴于此次爆发千年不遇的稀缺性,这个观测结果预期将在今后几十甚至上百年内保持最佳。
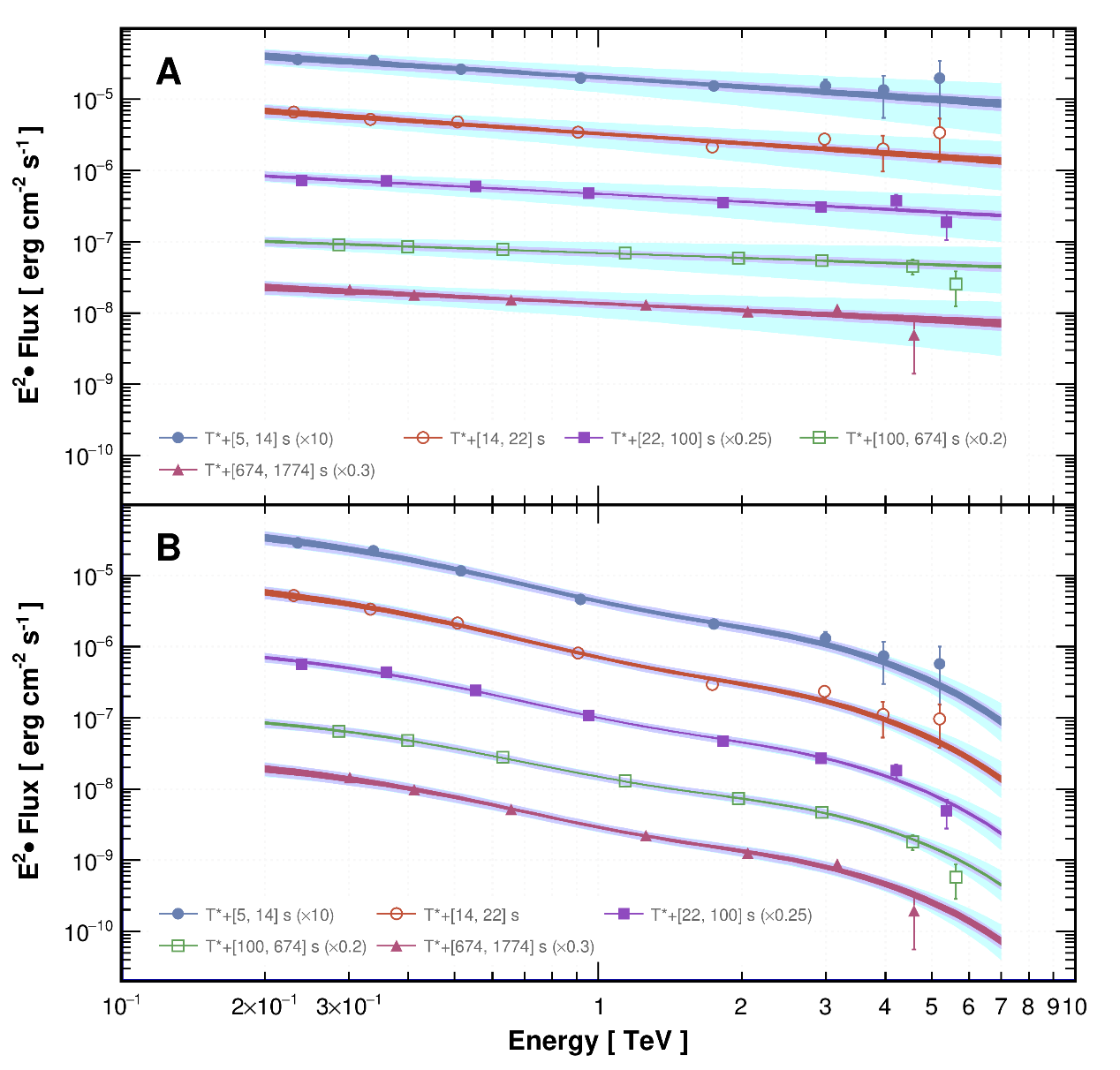
▲“拉索”测量得到的伽马射线暴221009A在5个时间段的本征谱与观测谱,能量范围约在2千亿到7万亿电子伏特之间。
“拉索”将会揭示更多谜团“在后随爆炸过程中,‘拉索’首次探测到光子流量的极速增强。”论文通讯作者之一、中国科学院高能物理研究所研究员姚志国说,不到两秒的时间内流量增强了100多倍,之后的缓慢增长行为却符合后随爆炸的预期特征。
早期如此快速的增强现象超出了以往理论模型的预期,这中间究竟存在着什么样的机制?记者了解到,此次发表的观测结果将会引发科学界对伽马射线暴能量注入、光子吸收、粒子加速等机制的深入探讨。
不仅首次测量到高能光子流量的快速增强过程,“拉索”还发现了此伽马射线暴历史最亮的秘密——
“拉索”观测表明,高能辐射在起爆之后不到10分钟的某个时刻,亮度突然快速减弱了。“这可解释为爆炸后的抛射物是喷流状的结构,当辐射张角扩展到了喷流的边缘时造成亮度快速下降。”论文通讯作者之一、南京大学教授王祥玉说,由于这个亮度转折发生时间极早,由此测出了喷流的张角也极小,仅0.8度。这是迄今知道的最小张角的喷流,意味着观测到的实际上是一个典型内亮外暗喷流的最明亮的核心。
“正是由于观测者碰巧正对喷流最明亮的核心,自然地解释了为什么这个伽马射线暴是历史上最亮的,也解释了为什么这样的事件极其罕见。”论文通讯作者之一、中国科学技术大学教授戴子高表示。
▲“拉索”观测到的3千亿到5万亿电子伏特能量范围的GRB221009A余辉辐射的光变过程与能谱指数演化,以及函数拟合。“拉索”首次实现了伽马射线暴千亿电子伏特以上余辉辐射过程的完整观测,发现了余辉辐射过程的快速增长现象,发现了伽马射线暴GRB221009A余辉辐射过程的快速衰减现象。
“拉索”在最高能段的高统计量观测,也将揭示更多的谜团。
在这个事件持续的10分钟内,“拉索”记录到的光子数超过了过去几年对“标准烛光”蟹状星云观测积累。“若把选择条件降到最低,光子数可以达到10万!”论文通讯作者之一、中国科学院高能物理研究所研究员查敏说,对比同能区其它实验装置,甚至是专门设计来追踪伽马暴的设备,它们测到的光子数目仅在千个以下的水平,且都只测到了爆炸过后60秒以晚的“余辉”。
“截至目前,本场爆炸事件还有其它的许多新发现,科学家们还在不懈地深耕‘拉索’的数据,力图揭示更多的奥秘,敬请等待‘拉索’的后续数据分析成果。”曹臻对“拉索”下一阶段成果给出了乐观的预期。
红星新闻记者 彭祥萍 图据中国科学院高能物理研究所
引自红星新闻网2023.6.9版 原地址:https://static.cdsb.com/micropub/Articles/202306/851837c9989f8ee0f4e8e5fff1c00e60.html?fromUdid=E9904B5F-1FB2-4EA8-A825-38F9826B4217