上海天文台科研团队利用慧眼卫星观测数据开展黑洞双星天鹅座X-1研究取得新进展
近日,上海天文台观测高能天体物理组的科研团队利用硬X射线调制望远镜卫星(Hard X-ray Modulation Telescope,简称HXMT,中文“慧眼卫星”)在著名黑洞双星天鹅座X1的软谱态时探测到88mHz的高能准周期振荡信号,相关研究工作已发表在国际期刊《天体物理学期刊》(Astrophysical Journal)上。
著名的黑洞X射线双星系统——天鹅座X1是上世纪六十年代最早发现的X射线源之一,它由一颗大质量的O型恒星和一个黑洞组成,二者相互绕转,恒星星风物质被黑洞吸积,并从黑洞中持续辐射出较强的X射线,这一特点使它成为少数几个已知的黑洞X射线双星之一。最新的测量结果显示它距离地球大约7200光年,双星系统中的黑洞质量大约21倍太阳质量[1],是银河系中已知黑洞质量最大的恒星级黑洞,也是银河系中唯一已知的黑洞大质量X射线双星。
科研人员表示,本次研究使用了我国“慧眼卫星”的观测数据。“慧眼卫星”是中国第一颗空间X射线天文卫星,覆盖能量范围1--250 keV,是既可以实现宽波段、大视场X射线巡天又能够研究黑洞、中子星等高能天体的短时标光变和宽波段能谱的空间X射线天文望远镜,同时也是具有高灵敏度的伽马射线暴全天监视仪,于2017年6月15日发射。升空后的第二天,慧眼卫星就对第一目标——天鹅座X-1进行了观测。
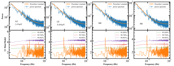
上海天文台观测高能天体物理组成员分析了“慧眼卫星”对天鹅座X1的观测数据,在曝光时间最长的一次观测中(约15万秒),“慧眼卫星”的低、中、高能探测器独立显著地探测到一个频率在88mHz的暂现准周期振荡信号。通过对该准周期振荡信号的频率、相干性、幅度以及随能量的变化等性质的研究,科研人员们发现,具有大质量恒星的天鹅座X1与银河系中占多数的小质量黑洞X射线双星在低频准周期振荡的性质表现出不同的特征。
值得注意的是,本次上海天文台的科研人员通过“慧眼卫星”数据探测到的天鹅座X1准周期振荡信号是在软态时发生的,而过去在黑洞双星中发现的准周期振荡信号,大都是在黑洞双星处于硬谱态时探测到的。虽然之前在RXTE卫星[2]时代,人们也曾在天鹅座X1中可能探测到了类似准周期振荡信号,但是从未在50keV以上的硬X射线能量范围探测到。因此,该探测结果充分显示了我国慧眼X射线天文卫星在高能硬X射线的观测优势。
同时,该发现对理解大质量X射线双星中的毫赫兹准周期振荡(频率<100mHz)现象提供了重要线索,可能为揭示包括X射线脉冲星和近邻星系超亮X射线源的吸积模式开辟新的研究方向。与天鹅座X1类似的还有大麦哲伦星云中的大质量黑洞X射线双星LMC X-1。它长期处于软谱态中,科学家们偶尔也能探测到几十毫赫兹左右的准周期振荡。上海天文台的科研人员认为,在大麦哲伦星云LMC X-1探测到的准周期振荡很可能和本次在天鹅座X1中探测到的毫赫兹准周期振荡是由同一种机制产生的,且类似的毫赫兹准周期振荡在其它类型的大质量X射线双星中也都发现过,比如大质量X射线双星中的吸积脉冲星和近邻星系中的超亮X射线源。因此,这种发现可能暗示着这种毫赫兹准周期振荡和星风吸积模式有关。
该论文第一作者闫震副研究员承担了空间科学卫星科学研究联合基金培育项目。上海天文台高能观测课题组负责承担了空间科学卫星科学研究联合基金重点项目。该工作由中国科学院空间科学战略性先导科技专项慧眼卫星数据支持。
[1] Miller-Jones 等,“Cygnus X-1 contains a 21–solar mass black hole—Implications for massive star winds”,2021,Science,371,1046
[2] RXTE卫星:https://www.nasa.gov/centers/goddard/missions/rxte.html
科学联系人:
闫震,中国科学院上海天文台,zyan@shao.ac.cn
余文飞,中国科学院上海天文台,wenfei@shao.ac.cn
张双南(慧眼卫星首席科学家),中国科学院高能物理研究所,zhangsn@ihep.ac.cn
论文链接:
https://iopscience.iop.org/article/10.3847/1538-4357/ac0f7b
课题组网页:
http://202.127.29.4/wenfei/Homepage.html

天鹅座X1的艺术想象图(来自NASA/CXC/M.Weiss)

慧眼卫星三个仪器低能、中能和高能探测器对毫赫兹准周期振荡信号的独立探测(摘自Yan, Rappisarda & Yu, 2021, ApJ,919,46)。