破纪录的超长伽马暴的真相大白了?
2025 年 7 月 2 日,一个持续超过29小时的伽马射线暴打破人类观测纪录,成为迄今已知持续时间最长的伽马射线暴。这一来自 80 亿光年外的极端宇宙事件,释放的能量相当于 1000 颗太阳燃烧 100 亿年的总和,其独特的多阶段爆发特征与超长续航能力,颠覆了人类对伽马射线暴的传统认知,引发全球天文学家的深入探索和持续争论。近日,中国科学院高能物理研究所粒子天体物理全国重点实验室的研究团队在《天体物理杂志快报》上发表的最新文章为理解这一事件带来了全新的视角。
1. 伽马射线暴——大爆炸后宇宙中最强烈的爆炸
伽马射线暴(GRB)是自宇宙大爆炸后,人类已知的宇宙中最剧烈的天体爆发现象,它们源于遥远星系的极端天体物理过程。天文学家根据其持续时间和起源,将其分为一型伽马暴和二型伽马暴两类:一型伽马暴的持续时间通常小于 2 秒,天文学家认为它们源于中子星、黑洞等致密天体的并合事件,比如两颗中子星碰撞或黑洞撕裂并吞噬中子星,过程剧烈但短暂;二型伽马暴的持续时间约为几十秒到几百秒,主流观点认为其源于大质量恒星(质量超过太阳 20 倍)的核心坍缩——当恒星燃料耗尽,核心无法支撑星体自身的重量,急剧坍缩形成黑洞。这两种伽马暴都会产生接近光速的物质喷流,且准直性极强,就像手电筒照向太空,这意味着大多数伽马射线暴会错过地球,从未被我们探测到,而所有已发现的伽马射线暴都来自遥远星系。
除此之外,还有一类罕见的“超长版”伽马射线暴,持续时间超过几千秒,其成因长期悬而未决,且常与其他宇宙高能事件混淆,成为天文学界的未解之谜。
2. 打破纪录的超长伽马暴
2025 年 7 月 2 日,费米伽马射线太空望远镜(Fermi Gamma-ray Space Telescope)配备的伽马射线爆发监测器(GBM)捕捉到一例伽马暴的信号,这个信号按照惯例命名为GRB 250702D。然而在接下来的近4小时内,又捕捉到了来自相同区域的两次爆发,刚开始科学家将它们分别命名为GRB 250702B和GRB 250702E。然而,经过多设备联合分析,逐渐缩小定位区域,科学家最终确认这一系列爆发源自同一高能天体源的间歇性爆发(因此统一命名为GRB 250702B)。4个小时的爆发持续时间使得该伽马暴远超典型长时标伽马射线暴(通常仅持续数分钟),刷新了人类对伽马射线暴的认知。
一时间,全球各类波段的望远镜对该天体源展开联合追踪——在太空,费米伽马射线太空望远镜、雨燕天文台,特别是我国的慧眼卫星、极目卫星(图1),中法联合的 SVOM 卫星,以及中欧合作的“天关”卫星(爱因斯坦探针卫星)等高能天文卫星,从伽马射线和X 射线波段捕捉到了关键信号。


3. 众说纷纭:超长伽马暴成因之争
面对这一前所未有的宇宙事件,天文学家们试图破解其成因,但传统伽马暴理论模型均无法解释如此长时间的伽马射线暴。中子星并合这类致密天体碰撞事件,物理过程极端剧烈但持续时间极短,通常仅能产生秒级伽马射线辐射,能量释放集中且快速耗尽,完全无法支撑长达4小时的持续爆发;而在常规大质量恒星坍缩伽马暴模型中,坍缩的恒星通常被认为是已通过演化抛射大部分包层的沃尔夫-拉叶星——这类恒星是大质量恒星演化末期的特殊阶段,凭借自身强大的恒星风,已将外层富含氢、氦的包层大量抛射,仅留下裸露的重元素核心。此类星体的坍缩过程通常仅数百秒,无法驱动 GRB 250702B 这样长达4 小时的伽马暴。
针对传统模型的局限,一个较自然的解释是:该事件是一次特殊的“黑洞潮汐瓦解事件”,即大质量黑洞将恒星撕碎并吸入。在吸积过程中,黑洞自转形成强大的中心引擎,将部分恒星物质以近乎光速向外喷出,辐射出伽马射线,且喷流恰好指向地球而被观测到。但这一理论存在致命缺陷:大质量黑洞通常位于星系核心地带,这与观测事实直接矛盾——韦布望远镜观测显示 GRB 250702B 位于星系边缘。
另有天文学家提出,该事件源于恒星级黑洞坠入氦星内部并最终从内部吞噬氦星的过程。这一假说认为,爆发的核心是一颗质量约为太阳 3 倍的恒星级黑洞(事件视界仅 18 公里宽,引力却足以撕裂伴星),其伴星是一颗特殊的“氦星”:质量与黑洞相近,但体积远小于太阳,外层氢大气已完全剥离,仅剩下致密的氦核。在引力作用下,黑洞与氦星相互环绕,随着轨道逐渐靠近,黑洞开始拉扯氦星物质,形成庞大的吸积盘,过程中释放明亮 X 射线;当黑洞完全浸入恒星内部后,从内部快速吞噬恒星物质,同时向外喷射近光速喷流,产生观测到的伽马射线暴。巨大能量最终会导致恒星爆炸形成超新星——这是该假说的独特预测,但即便韦布望远镜等尖端设备全力搜寻,也未观测到预期的超新星信号,因此该理论缺乏观测支撑。
还有部分天文学家认为,此次超长伽马暴的成因是宇宙中罕见的“中等质量黑洞”——质量约为数千倍太阳质量,半径仅为地球数倍,介于恒星级黑洞和星系核心超大质量黑洞之间。这类黑洞如同潜伏在星系边缘的“猎手”,当一颗主序星或白矮星误入其势力范围,强大的潮汐力会将星体撕碎,并逐渐吸入黑洞。但要与观测到的间歇性爆发和超长持续时间相符,这颗中等质量黑洞不能“一次性”撕碎星体,而需多次重复“部分撕裂”。对此,部分研究者对能否实现这种多次重复撕裂提出了质疑。
4. 被忽视的线索
就在科学家们莫衷一是之际,中国科学院高能物理研究所粒子天体物理全国重点实验室的慧眼卫星和极目卫星联合研究团队带来了突破性发现。他们利用自主研发的新分析工具,对 GRB 250702B 发生前后30 天内的慧眼、极目和费米卫星的观测数据进行了全面检索。结果显示,GRB 250702B 主爆发的起始时间早于费米卫星此前报道的时间:由于地球遮挡,费米卫星错过了主爆发第一个阶段的早期辐射,而慧眼和极目 B 卫星清晰捕捉到了这部分信号(图3)。

图3: 伽马暴GRB 250702B从前兆辐射到主暴,再到X射线衰减辐射的光变曲线;图片来源:Zhang et al., ApJL, 997, 2
更关键的是,团队发现在伽马暴发生 25小时前,费米望远镜已捕捉到一个持续 50秒的伽马射线辐射信号,称为前兆辐射。有趣的是,爱因斯坦探针卫星的堆叠数据也在主爆发前一天(7 月 1 日)探测到软X射线信号,且该信号的定位与 GRB 250702B 完全一致。如此一来,算上前兆辐射的话,这个伽马暴的伽马射线辐射活动时间跨度达到了惊人的29个小时(图3)。
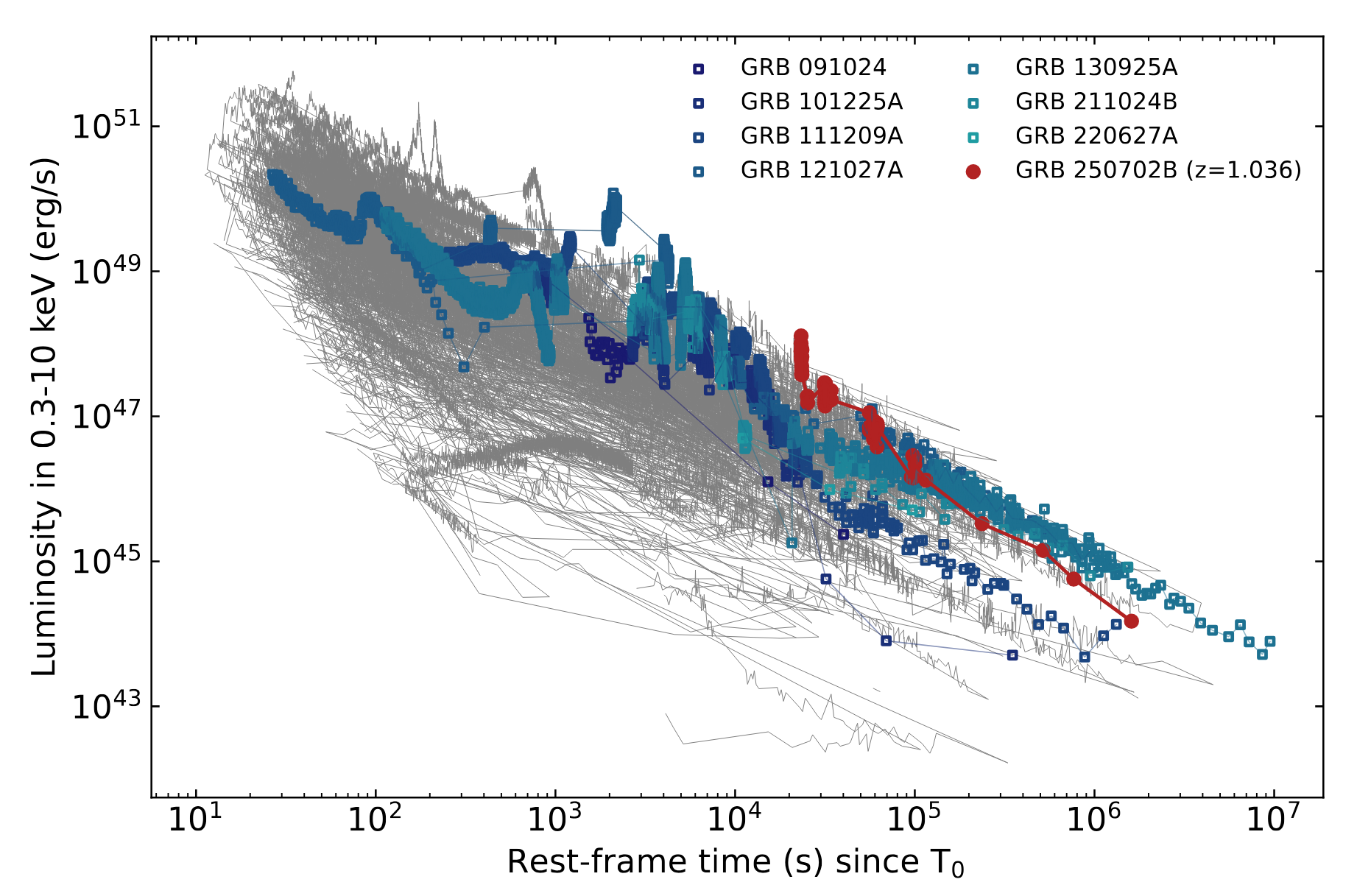
此外,研究团队通过分析雨燕XRT、钱德拉望远镜观测的主暴结束后30多天内观测的软X射线数据,惊喜地发现这些软 X 射线辐射亮度随时间呈t⁻⁵/³ 幂律衰减规律,而且幂律衰减的起始时刻对应于主暴的晚期。同时,研究团队发现,软X射线辐射的亮度和演化规律与此前人们探测到的超长伽马暴相当一致(图4)。

图4: 伽马暴GRB 250702B的X射线辐射光度演化与超长伽马暴展现了相似性;图片来源:Zhang et al., ApJL, 997, 2
5. 新发现呼唤新理论
团队的上述发现对现有理论解释构成了严峻挑战。比如,t⁻⁵/³ 幂律衰减规律通常意味着黑洞潮汐瓦解恒星事件,然而潮汐撕裂事件要求所有辐射均产生于恒星被撕裂之后,而这一 25 小时前的前兆辐射以及大部分主暴辐射,均早于基于潮汐瓦解模型推测的星体被黑洞撕裂时刻,形成了难以调和的矛盾。
为此,高能物理研究所研究团队提出了全新的“超巨星自调控坍缩星模型”:根据该模型,此次伽马暴的前身星是一颗质量远超太阳的超巨星。与普通长伽马暴的前身星沃尔夫-拉叶星不同,超巨星的坍缩时标可长达数小时。当超巨星耗尽核聚变燃料时,其核心首先坍缩形成黑洞;黑洞形成后,会快速吸积超巨星内层物质,进而驱动接近光速的相对论性喷流——这一喷流正是伽马暴前兆辐射和主爆发的来源。
在黑洞快速吸积物质的过程中,会伴随极强的 X 射线辐射爆发,同时产生高速物质外流:这些外流物质携带巨大动能,与正在下落的恒星物质发生剧烈碰撞和相互作用,形成强大的“制动效应”,使下落物质逐渐减速甚至完全停滞;下落物质的停滞直接导致黑洞吸积速率大幅下降,进而削弱中心引擎的能量输出,使得高强度 X 射线辐射和高速物质外流的强度同步减弱;当外流的“制动效应”不足以阻挡下落物质时,此前被停滞的恒星物质会在黑洞引力重新主导下,再次加速向黑洞坠落,开启新一轮快速吸积。这种“快速吸积—强辐射/外流制动—吸积减速—制动减弱—再次吸积”的循环反复进行,形成稳定的自调控机制,而每一次循环中的快速吸积阶段,都会驱动相对论性喷流的形成和辐射,这也正是观测中伽马暴主爆发呈现间歇性多次辐射特征的原因。
在最后一次爆发后,超巨星外层物质被向外抛射,随后逐渐回落到黑洞周围,形成持续的“燃料补给”。这些回落物质吸积产生喷流,恰好对应主爆发后雨燕XRT、钱德拉望远镜观测到的软 X 射线亮度随时间呈 t⁻⁵/³ 幂律衰减的特征——这与理论预言中典型回落物质吸积率的演化方式完全吻合。值得注意的是,超巨星外层物质的回落时标可长达 100 天至数年,这种超长时标的物质补给为 X 射线辐射的长期持续提供了稳定能量来源,这也是观测中 t⁻⁵/³ 衰减规律的 X 射线辐射能持续到爆发后 30 多天的核心原因——即便主爆发阶段的剧烈能量释放已结束,回落物质的持续吸积进而形成喷流仍能产生 X 射线辐射,只是因为随着晚期吸积率降低,喷流的能量和速度也降低,观测到的辐射光子从伽马射线波段降低到X射线波段。
同时,从时间关联性来看,t⁻⁵/³ 幂律衰减的起始时刻,对应中心引擎最后一次剧烈活动将外层物质大规模向外抛射的关键节点,而观测数据明确显示,主爆发的最后一个阶段恰好发生在这一时刻附近。这种时间上的精准契合并非偶然,从观测层面进一步印证了“抛射—回落—吸积”机制的合理性。
此外,该模型还能解释未观测到超新星信号的现象:超巨星自调控坍缩过程可能通过特殊的能量反馈机制抑制经典核心坍缩超新星的形成。在传统大质量恒星坍缩过程中,核心坍缩引发的冲击波会穿透恒星外层物质,触发剧烈超新星爆炸;但在自调控坍缩模型中,中心引擎持续的能量输出与物质外流会不断削弱甚至抵消冲击波的传播能量,导致冲击波无法有效突破外层物质,进而抑制超新星形成——这一机制为本次爆发未观测到超新星对应体的事实,提供了逻辑自洽的解释。高能所团队的这一研究结果近日发表在国际天文学期刊《天体物理杂志快报》(Astrophysical Journal Letter)。

图5:超巨星自调控坍缩星模型示意图;在中间阶段,伽马暴的前身星进入“快速吸积—强辐射/外流制动—吸积减速—制动减弱—再次吸积”的循环反复进行,形成稳定的自调控机制。
6. 探索永不止步:科学启示与未来展望
GRB 250702B 这一源自 80 亿光年外的极端宇宙信号,其科学价值远超“打破持续时间纪录”本身:包括前兆辐射和主暴在内的29小时的超长爆发时长、多阶段间歇性辐射特征,主暴后软X射线辐射呈 t⁻⁵/³ 幂律衰减,共同构成了对传统伽马射线暴理论体系的系统性挑战,更推动天文学界构建新的理论模型。本次事件的成功解析,离不开全球多波段天文观测网络的协作接力——从美国的费米伽马射线太空望远镜、雨燕天文台、哈勃空间望远镜、詹姆斯·韦布空间望远镜,到中国的慧眼卫星、极目卫星、中欧合作的天关卫星(爱因斯坦探针卫星)、中法联合的 SVOM 卫星,再到分布于世界各地的地面光学天文台,形成了从伽马射线、X 射线到光学、红外波段的全频谱覆盖,精准捕捉到从前兆辐射、主爆发到后续 X 射线辐射的完整演化过程,并成功锁定其宿主星系。这种多设备、多波段的协同观测模式,为解析极端宇宙事件提供了不可或缺的技术保障。
展望未来,随着下一代高能天文设备的陆续升空与地面观测设施的升级迭代,人类将具备更强大的极端宇宙事件探测与解析能力。这些探索将持续推动人类深化对黑洞形成机制、恒星演化终点、宇宙物质与能量循环等基础科学问题的认知,逐步揭开极端宇宙现象的神秘面纱,不断逼近宇宙的终极规律。对 GRB 250702B 的研究,既是对过往理论的突破,更是未来宇宙探索的新起点。
【延伸阅读】
On the Ultralong Gamma-Ray Transient GRB 250702B/EP 250702a, Jin-Peng, Zhang et al., The Astrophysical Journal Letters, Volume 997, Issue 2, id.L45, 12 pp. https://doi.org/10.3847/2041-8213/ae31e7
附件下载: